23年我们只做一件事

全国咨询热线

校园动态

24小时全国咨询热线
400-6565-571

校园动态

首页 > 校园动态 > 正文

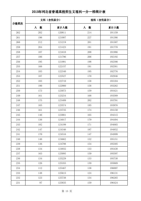
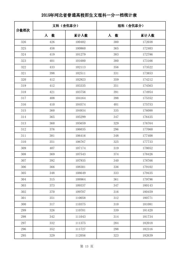
2015年河北高考一分一档表公布(含文理科)

发布时间:2015-06-24